Langsung ke konten utama
Telusuri
Cari Blog Ini
Dari Jalan-Jalan Untuk Dunia
Sekedar berbagi ilmu , info dan pengalaman
Berbagi
Dapatkan link
Facebook
X
Pinterest
Email
Aplikasi Lainnya
Label
Geodesi dan Hydro
September 12, 2020
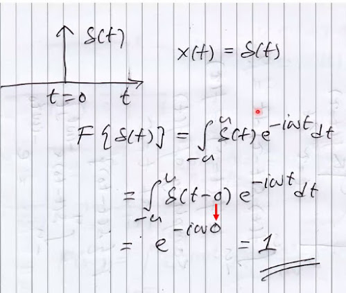
Contoh Cara Fourier Tranform
Hitung Fourier Transform dari berikut
Komentar
Postingan Populer
September 12, 2020
Cari Tahu BAROTROPIK dan BAROKLINIK pada Perairan
Desember 15, 2014
Fungsi-Fungsi Transmisi P-R-N-D-S-L Pada Mobil Matic
Komentar
Posting Komentar